文/集佳知識產權代理有限公司保定分部 張雪嬌
審查指南中規定,如果一項申請在一個權利要求中限定多個可并列的可選擇要素,則構成“馬庫什”權利要求。如果一項馬庫什權利要求中的可選擇要素具有相類似的性質,則應當認為這些可選擇要素在技術上相互關聯,具有相同或相應的特定技術特征,該權利要求可被認為符合單一性的要求,這些可選擇的要素成為馬庫什要素。
當馬庫什要素是化合物時,如果滿足下列標準,應當認為它們具有類似的性質,該馬庫什權利要求具有單一性:(1)所有可選擇的化合物具有共同的性能或作用;(2)所有可選擇化合物具有共同的結構,該共同的結構能夠構成它與現有技術的區別特征,并對通式化合物的共同性能或作用是必不可少的;或者在不能有共同結構的情況下,所有的可選擇要素應屬于本發明所屬領域中公認的同一化合物類別。
馬庫什權利要求必須要同時滿足上述兩條標準才能確定其具有單一性。其中,對于第一條,所有可選擇的化合物只有具有共同的性能或作用,才能說明其屬于同一個發明構思,具有同樣的技術效果,也就相當于單一性的概念,即屬于一個總的發明構思,因此其很容易理解,也毫無疑義;但第二條標準涉及到共同結構的確定,由于在專利法、實施細則及審查指南等中對其并沒有明確的規定,因此,對其理解不同就帶來不同的觀點。
目前,確定馬庫什權利要求共同結構時,有三種觀點:(1)該結構不得以變量表示,也不得包含變量,必須是唯一的,固定的結構;(2)該結構可以包括一個或多個變量,但對于所屬領域技術人員而言,由每個變量的定義得出的結構應該是唯一的;(3)該結構可以包含一個或多個變量,但對于所屬領域技術人員而言,由每個變量的定義得出的結構可以不是唯一的,但必須是清楚和明確的。
筆者認為,對于本領域技術人員來說第一種觀點過于形式與機械,代理人如按照此觀點撰寫權利要求,會導致兩個極端:一種極端不考慮其與現有技術的區別,直接將固定結構如母核設置為共同結構,其他全為變量,這樣會容易導致共同結構過于簡單,從而使審查員很容易找到對比文件,質疑該馬庫什權利要求的單一性與創造性,另一個極端則是考慮其與現有技術的區別,此時往往會將某一關鍵的變量設置為一個固定的結構,以使共同結構構成與現有技術的區別,但這樣則會損失申請人的部分利益;第二種觀點與第三種觀點則比較靈活,使代理人可在正確理解“由每個變量得到出結構應該是唯一的”或“由變量得到出結構可以不是唯一,但必須是清楚和明確的”上,將馬庫什權利要求的保護范圍在合理的范圍內擴大。
以下結合具體的案例進行說明。
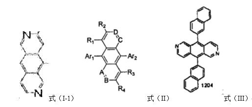
某申請文件權利要求1公開了一種芳雜環衍生物,具有式(Ⅰ)所示結構:

其中,
L1、L2、L3、L4獨立的選自0或1;
Q1和Q2獨立的選自氮、氧、硫、碳原子數6~30的芳基或碳原子數1~30的雜環基;
R1選自氫原子、氰基、碳原子數是1~30的烷基、取代或未取代的碳原子數6~50的芳基、取代或未取代的碳原子數5~50的雜環基、取代或未取代的碳原子數7~30的芳香族胺基、取代或未取代的碳原子數7~30的芳烷氧基或取代或未取代的碳原子數7~30的芳烷巰基;
Ar1、Ar2、Ar3、Ar4獨立的選自氫原子、取代或未取代的碳原子數7~50的芳烷基、取代或未取代的碳原子數7~50的芳烷氧基、取代或未取代的碳原子數7~50的芳烷巰基、碳原子數6~50的芳基、取代或未取代的碳原子數5~50的雜環基、取代或未取代的碳原子數7~30的芳香族胺基。
在審查意見中,審查員指出,就該申請而言馬庫什通式中的共同部分為吡啶并[3,4-g]異喹啉(式(I-1)),然而該共同結構已被對比文件公開,該對比文件同樣公開了一種有機電致發光化合物式(II),同時還公開了一系列具體化合物,以其所公開的式(III)所示的化合物為例,其相當于權利要求1的通式中的R1為氫;L1、L2為1、Q1和Q2選自碳原子6~30的芳基;Ar1、Ar2為氫原子;L3、L4為0的技術方案。因此,權利要求1的馬庫什通式中的共同結構不能構成它與現有技術的區別。因此,該馬庫什權利要求不具備專利法第31條第1款所規定的單一性。

首先,確定審查意見所指出的共同結構是否正確,根據上面所說的第一種觀點,該申請的共同結構即為審查意見中所指出的結構;根據第二種與第三種觀點,將與母核吡啶并[3,4-g]異喹啉直接連接的變量R1、Q1與Q2引入共同結構的確定,但R1可為氫原子、氰基、碳原子數是1~30的烷基、取代或未取代的碳原子數6~50的芳基、取代或未取代的碳原子數5~50的雜環基、取代或未取代的碳原子數7~30的芳香族胺基、取代或未取代的碳原子數7~30的芳烷氧基或取代或未取代的碳原子數7~30的芳烷巰基;這幾者對母核所產生的電子效應、位阻效應等影響各異,也不是本領域公知的同一化合物類別;L1與L2可以為0或1,Q1和Q2獨立的選自氮、氧、硫、碳原子數6~30的芳基或碳原子數1~30的雜環基,其中,氮、氧與硫原子,其為化學領域常指的雜原子,三者對母核的影響類似,可視為本領域中公認的同一化合物類別,但其與芳基、雜環基差異較大,相互取代后,本領域技術人員并不能確定其能產生同樣的效果,因此不能視為同一化合物類別。由此可見,三種變量中各自所定義的可選擇的元素均不是本領域中公認的同一化合物類別,將變量引入后的結構也不是清楚和明確的,該申請的共同結構只能是審查員所指出的吡啶并[3,4-g]異喹啉(式(I-1))。
而根據馬庫什權利要求單一性的規定,該共同結構必須構成馬庫什通式與現有技術的區別特征,而對比文件中已公開該結構,導致其不能滿足此條件,因此該申請所要求保護的通式不符合馬庫什權利要求單一性的規定。
綜上所述,在撰寫馬庫什通式時,不僅要注意其有共同的結構外,還要考慮該結構是否過于簡單,能否構成與現有技術的區別,不能上位太大,而要在合理的范圍內,確定其共同結構。如前述的式(I)通式共同結構只是一個母核,如該申請的作用真的只是這個母核所帶來的,雖然審查意見中并沒有提及,但代理人根據審查指南中創造性的判斷,也能想到審查員未指出的創造性的問題。
因此在撰寫申請文件時,筆者認為應盡量將變量限定為本領域同一類化合物,以在共同結構的判斷中能夠引入變量,而這些變量也是實現發明效果所必須的,進而也可增強權利要求的創造性。